Проект производства работ на монтаж-демонтаж технологического оборудования
Проект производства работ для оборудования — комплексный документ, описывающий технологию, порядок и сроки выполнения строительно-монтажных операций. Документ является детализированным регламентом, предназначенным для оптимизации трудовых затрат, установления требований к приемке результатов работ, описанию мероприятий по безопасности, охране труда, контролю качества. При отсутствии ППР, приступать к началу строительно-монтажных операций запрещается. Как правило, проект находит свое применение на территории строящихся, либо действующих фабрик, заводов, цехов предприятий и т.д. Документ является сложной организационно-производственной инструкцией, качественную разработку которой способны обеспечить исключительно опытные специалисты.
Процесс монтажа технологического промышленного оборудования представляет собой погрузочно-разгрузочные работы с элементами устройства монтажных соединений. Соединения устраивают в процессе установки оборудования в проектное положение. Существует более сложная форма обустройства промышленного оборудования. Например, монтаж промышленных резервуаров по типу РВС состоит из значительного количества технологических операций. В данный проект дополнительно включают операции по устройству фундаментов под оборудование, мероприятия по подключению инженерных сетей, испытания и пусконаладку, устройство антикоррозионной защиты оборудования от агрессивного воздействия внешних сред. Этот документ тесно связан с ППР на устройство инженерных сетей.
Когда, кем и зачем готовится?
ППР готовится до начала монтажа промышленного оборудования. Разработка документации позволит заказчику решить сразу несколько задач:
- правильно организовать и своевременно приступить к началу рабочих операций;
- снизить расходы на приспособления, оснастку и материалы путем принятия наиболее эффективных решений;
- сократить сроки выполнения технологических операций;
- обеспечить максимальную безопасность и охрану труда благодаря минимизации рисков.
ППР обязательно требуется при установке или монтаже оборудования в пределах населенного пункта, функционирующих предприятий, при сооружении сложных конструкций, важных или опасных объектов. Ответственным за подготовку документации является подрядчик, который может заказать проект в лицензированной компании.
Особенности разработки ППР на монтаж-демонтаж промышленного оборудования
Проект производства работ на монтаж оборудования должен включать в себя три основных раздела:
1. Пояснительная записка включает в себя:
- предоставление общей информации об объекте, условиях и требованиях к строительным, технологическим операциям по монтажу агрегатов, механизмов, приспособлений;
- виды и способы выполнения конкретных операций;
- порядок сборки, методы проверки точности установки;
- технологические карты;
- требования охраны труда.
2. Рабочие графики:
- календарный план производства работ;
- график движения грузоподъемной техники, предназначенной для монтажа крупногабаритного тяжелого оборудования;
- график движения рабочей силы.
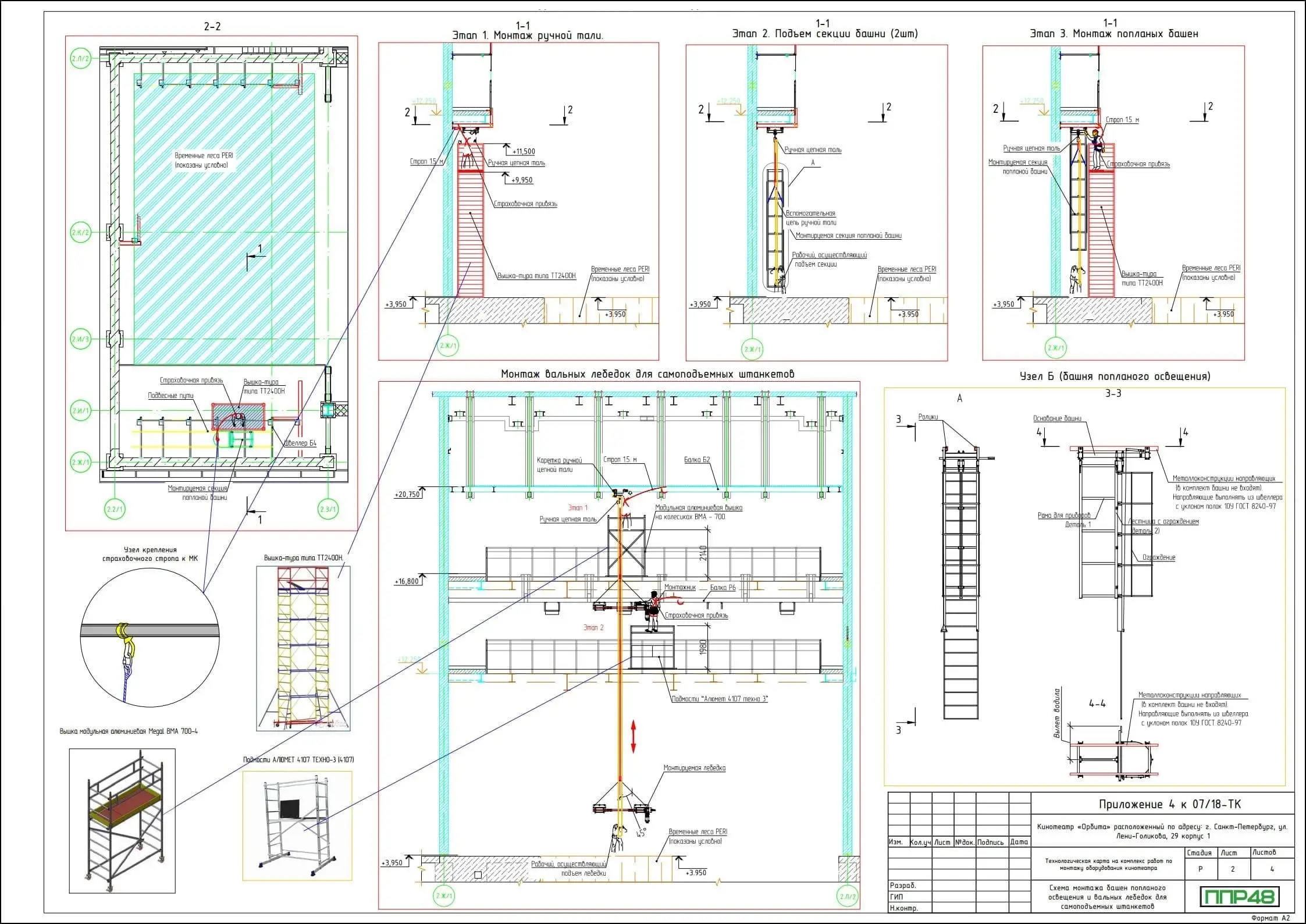
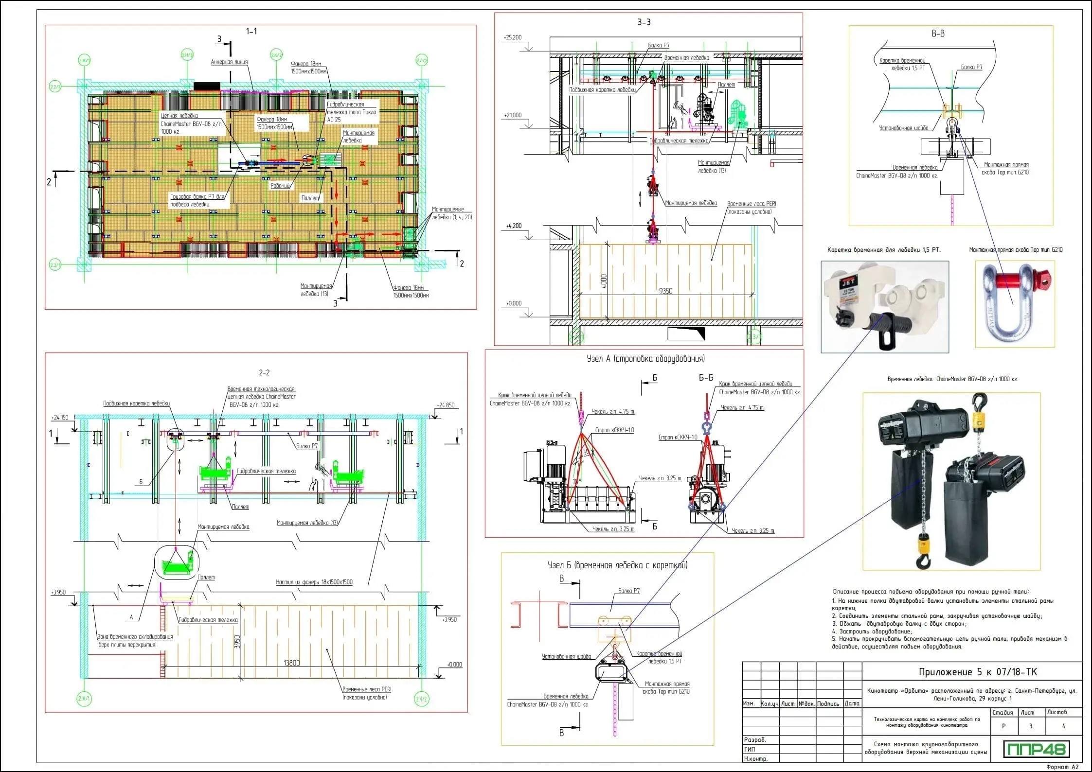
3. Чертежи и схемы:
- схемы установки грузоподъемной техники;
- схемы строповки и складирования;
- монтажные узлы и схемы
Где заказать ППР?
Наша компания оказывает услуги в области разработки ППР на монтаж оборудования по всей России с гарантией 1 год. В течение этого периода возможно внесение изменений или дополнений в проект. Способны выполнять заказы в сжатые сроки. Оптимальные цены и качественные результаты при строгом соблюдении ТЗ, требований МДС 12-81.2007, СП 12-136-2002, МДС 12-29.2006, СП 48.13330.2019, других документов. В штате компании находятся исключительно аттестованные инженеры с опытом от 10 лет. Чтобы задать свой вопрос специалистам или заказать проект производства работ, оставьте заявку на звонок или свяжитесь с нами любым альтернативным и удобным для Вас способом.
















































